Beranda
/ Download Proposal Mpls Smk : Proposal Mpls 2020 : Blog ini menyediakan berbagai contoh proposal paling baru secara lengkap yang bisa anda download secara gratis.
Download Proposal Mpls Smk : Proposal Mpls 2020 : Blog ini menyediakan berbagai contoh proposal paling baru secara lengkap yang bisa anda download secara gratis.
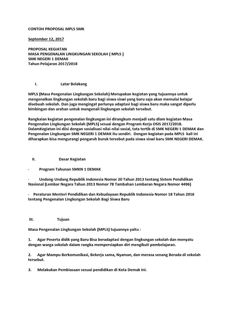
Download Proposal Mpls Smk : Proposal Mpls 2020 : Blog ini menyediakan berbagai contoh proposal paling baru secara lengkap yang bisa anda download secara gratis.. 31 full pdfs related to this paper. Laporan ketua panitia mpls smk kp 1 majalaya. Pada kesempatan ini, kami membuat proposal sekaligus sebagai program kerja masa pengenalan lingkungan sekolah (mpls) bagi siswa baru dengan tujuan agar dapat dibaca dan dipelajari oleh semua stakeholder di lingkungan sekolah. Latar belakang lingkungan sekolah mengah pertama (smp) dan lingkungan. Nah untuk lebih jelasnya silahkan langsung saja anda unduh filenya pada link yang ada di bawah ini:
Penting sekali bagi panitia untuk menyusun proposal mpls (mopd) Proposal mpls smk 2017 vlr0r3j65xlz. Kata pengantar kegiatan masa pengenalan lingkungan sekolah ( mpls ) di sekolah merupakan kegiatan pertama masuk sekolah untuk mengenalkan program, sarana dan prasarana sekolah, cara belajar, penanaman konsep, pengenalan diri, dan pembinaan awal kultur sekolah. Kritik dan saran sangat saya harapkan demi kemajuan blog ini dimasa yang akan datang. Pada kesempatan ini, kami membuat proposal sekaligus sebagai program kerja masa pengenalan lingkungan sekolah (mpls) bagi siswa baru dengan tujuan agar dapat dibaca dan dipelajari oleh semua stakeholder di lingkungan sekolah.
Program Kerja Pengenalan Lingkungan Sekolah from data03.123doks.com Bagi anda yang membutuhkan proposal penerimaan peserta didik baru (ppdb) tahun pelajaran 2020/2021 bisa anda undh melalui tautan link di bawah ini: Latar belakang lingkungan sekolah mengah pertama (smp) dan lingkungan. Pendidikan adalah pintu menuju kesuksesan. Proposal mpls terbaru tahun 2019/2020 sd, smp, sma, smk ini merupakan update terbaru yang akan kami bagikan dalam kesempatan yang baik ini. Mpls (masa pengenalan lingkungan sekolah) atau yang dulu kita kenal mos / mopd (masa orientasi peserta didik) yang biasanya dilaksanakan di awal tahun. Kegiatan mpls dilakukan selama tiga hari pada tanggal 13, 14, 15 juli 2020. Kalau saya jelaskan semua di artikel ini saya rasa terlalu panjang. Sahabat pendidikan, sebelum melaksanakan kegiatan masa pengenalan lingkungan sekolah bagi para peserta didik baru maka panitia mpls terlebih dahulu harus membuat program kerja yang akan menjadi.
Demikian proposal mpls smp plus raudlatul muta'allimin 2016 ini kami ajukan untuk dijadikan acuan dan untuk disetujui.atas dukungan dan kerja sama bapak / ibu yang bersangkutan kami ucapkan terima kasih.
Skenario tersebut diharapkan dapat memfasilitasi kegiatan mpls secara daring. Contoh laporan pelaksanaan mpls sd smp sma smk 2019/2020 | contoh proposal kegiatan. Smkkartinitng@gmail.com proposal kegiatan masa pengenalan lingkungan sekolah (mpls) a. Pada kesempatan ini, kami membuat proposal sekaligus sebagai program kerja masa pengenalan lingkungan sekolah (mpls) bagi siswa baru dengan tujuan agar dapat dibaca dan dipelajari oleh semua stakeholder di lingkungan sekolah. Proposal ini sebagai bentuk untuk menggambarkan rancangan masa pengenalan lingkungan sekolah (mpls) yang akan kami selenggarakan. Kalau saya jelaskan semua di artikel ini saya rasa terlalu panjang. Banyak hal yang dijelaskan dalam petunjuk teknis masa pengenalan lingkungan sekolah. Penyusunan proposal ini dilakukan dalam rangka kegiatan masa pengenalan linkungan sekolah (mpls) sma insan cendekia mandiri boarding school. Baik itu perkenalan dengan sesama siswa baru, senior, guru, hingga karyawan lainnya di sekolah itu. Kata pengantar kegiatan masa pengenalan lingkungan sekolah ( mpls ) di sekolah merupakan kegiatan pertama masuk sekolah untuk mengenalkan program, sarana dan prasarana sekolah, cara belajar, penanaman konsep, pengenalan diri, dan pembinaan awal kultur sekolah. Sahabat pendidikan, sebelum melaksanakan kegiatan masa pengenalan lingkungan sekolah bagi para peserta didik baru maka panitia mpls terlebih dahulu harus membuat program kerja yang akan menjadi. Pelaksanaan masa pengenalan lingkungan sekolah (mpls) 2018/2019 sma xx telah selesai dilaksanakan selama x pekan dengan bertema ccc. 31 full pdfs related to this paper.
Mpls juga sering dipakai sebagai sarana perkenalan siswa terhadap lingkungan baru di sekolah tersebut. Kalau saya jelaskan semua di artikel ini saya rasa terlalu panjang. Banyak hal yang dijelaskan dalam petunjuk teknis masa pengenalan lingkungan sekolah. Baik itu perkenalan dengan sesama siswa baru, senior, guru, hingga karyawan lainnya di sekolah itu. Smk di provinsi dki jakarta.
Contoh Proposal Mpls 2018 2019 Sd Smp Sma Smk Ppdb 2018 2019 Sd Mi Smp Mts Sma Ma Smk from 3.bp.blogspot.com Mpls untuk peserta didik baru dilakukan untuk mendukung proses belajar mengajar yang sesuai dengan. Nah untuk lebih jelasnya silahkan langsung saja anda unduh filenya pada link yang ada di bawah ini: Contoh daftar isi laporan kkn. Contoh proposal mpls sd, smp, sma, smk tahun 2019/2020 yang mungkin sesuai dengan yang anda butuhkan. Pada kesempatan ini, kami membuat proposal sekaligus sebagai program kerja masa pengenalan lingkungan sekolah (mpls) bagi siswa baru dengan tujuan agar dapat dibaca dan dipelajari oleh semua stakeholder di lingkungan sekolah. 31 full pdfs related to this paper. Contoh proposal mpls sd, smp, sma, smk tahun pelajaran 2019/2020 ini merupakan update terbaru yang akan kami bagikan dalam postingan kali ini. Penting sekali bagi panitia untuk menyusun proposal mpls (mopd)
Kegiatan mpls dilakukan selama tiga hari pada tanggal 13, 14, 15 juli 2020.
Contoh daftar isi laporan kkn. Pendidikan adalah pintu menuju kesuksesan. Blog ini menyediakan berbagai contoh proposal paling baru secara lengkap yang bisa anda download secara gratis. Contoh proposal mpls sd, smp, sma, smk tahun 2019/2020 yang mungkin sesuai dengan yang anda butuhkan. Kata pengantar kegiatan masa pengenalan lingkungan sekolah ( mpls ) di sekolah merupakan kegiatan pertama masuk sekolah untuk mengenalkan program, sarana dan prasarana sekolah, cara belajar, penanaman konsep, pengenalan diri, dan pembinaan awal kultur sekolah. Proposal mpls terbaru tahun 2019/2020 sd, smp, sma, smk ini merupakan update terbaru yang akan kami bagikan dalam kesempatan yang baik ini. Proposal ini tentunya akan sangat anda dibutuhkan untuk panitia mpls (masa pengenalan lingkungan sekolah) sebagai persiapan awal penyelenggaraan kegiatan. Mpls (masa pengenalan lingkungan sekolah) merupakan kegiatan yang tujuannya untuk mengenalkan lingkungan sekolah baru bagi siswa siswi yang baru saja akan memulai belajar disebuah sekolah. Kami berharap informasi ini dapat memberikan manfaat buat semua. Silahkan anda edit karena proposal tersebut sudah siap cetak. Penting sekali bagi panitia untuk menyusun proposal mpls (mopd) Di dalamnya juga terdapat silabus pelaksanaan kegiatan. Kegiatan mpls smpn 1 purwakarta:
Smkkartinitng@gmail.com proposal kegiatan masa pengenalan lingkungan sekolah (mpls) a. Proposal kegiatan mpls smp/mts tahun pelajaran 2018/2019 >> berikut admin sampaikan materi tentang proposal kegiatan mpls pada jenjang pendidikan smp/mts tahun pelajaran 2018/2019.masa pengenalan lingkungan sekolah (mpls) merupakan kegiatan awal tahun pelajaran bagi peserta didik baru yang di terima pada satuan pendidikan. Dan juga mengingat perlunya adaptasi bagi siswa baru maka sangat diperlu bimbingan dan arahan untuk mengenali lingkungan sekolah. Di dalam penyusunan proposal ini, kami menyadari bahwa proposal yang kami susun ini masih jauh dari sempurna. Materi mpls pengenalan kurikulum ( unduh) materi mpls pembinaan mental agama disekolah ( unduh ) demikianlah informasi yang kami sampaikan mengengai download materi masa pengenalan lingkungan sekolah (mpls) tahun ajaran 2020/2021 sd, smp, sma dan smk.
Contoh Proposal Mpls Smk Sketsa from imgv2-1-f.scribdassets.com Pasar rebo, jakarta timur telp (021) 8701460 Kritik dan saran sangat saya harapkan demi kemajuan blog ini dimasa yang akan datang. 31 full pdfs related to this paper. Contoh daftar isi laporan kkn. Pada kesempatan ini, kami membuat proposal sekaligus sebagai program kerja masa pengenalan lingkungan sekolah (mpls) bagi siswa baru dengan tujuan agar dapat dibaca dan dipelajari oleh semua stakeholder di lingkungan sekolah. Proposal ppdb 2020 ini dapat di gunakan untuk jenjang sd, smp, sma dan smk. Contoh proposal mpls sd, smp, sma, smk tahun pelajaran 2019/2020 ini merupakan update terbaru yang akan kami bagikan dalam postingan kali ini. Pendidikan adalah pintu menuju kesuksesan.
Pelaksanaan masa pengenalan lingkungan sekolah (mpls) 2018/2019 sma xx telah selesai dilaksanakan selama x pekan dengan bertema ccc.
Dan juga mengingat perlunya adaptasi bagi siswa baru maka sangat diperlu bimbingan dan arahan untuk mengenali lingkungan sekolah. Proposal ppdb 2020 ini dapat di gunakan untuk jenjang sd, smp, sma dan smk. Latar belakang lingkungan sekolah mengah pertama (smp) dan lingkungan. Pada kesempatan ini, kami membuat proposal sekaligus sebagai program kerja masa pengenalan lingkungan sekolah (mpls) bagi siswa baru dengan tujuan agar dapat dibaca dan dipelajari oleh semua stakeholder di lingkungan sekolah. Download bank soal tik smp & smk tkj nurkana. Proposal kegiatan mpls smp/mts tahun pelajaran 2018/2019 >> berikut admin sampaikan materi tentang proposal kegiatan mpls pada jenjang pendidikan smp/mts tahun pelajaran 2018/2019.masa pengenalan lingkungan sekolah (mpls) merupakan kegiatan awal tahun pelajaran bagi peserta didik baru yang di terima pada satuan pendidikan. Nah untuk lebih jelasnya silahkan langsung saja anda unduh filenya pada link yang ada di bawah ini: Banyak hal yang dijelaskan dalam petunjuk teknis masa pengenalan lingkungan sekolah. Proposal mpls terbaru tahun 2019/2020 sd, smp, sma, smk ini merupakan update terbaru yang akan kami bagikan dalam kesempatan yang baik ini. Contoh proposal mpls sd, smp, sma, smk tahun 2019/2020 yang mungkin sesuai dengan yang anda butuhkan. Kami berharap informasi ini dapat memberikan manfaat buat semua. A short summary of this paper. Diharapkan dengan contoh proposal mpls sd, smp, sma, smk terbaru tahun 2018 ini dapat membantu anda dalam menemukan referensi yang tepat untuk dipergunakan sebagaimana mestinya.
Berbagi
Posting Komentar
untuk "Download Proposal Mpls Smk : Proposal Mpls 2020 : Blog ini menyediakan berbagai contoh proposal paling baru secara lengkap yang bisa anda download secara gratis."
Posting Komentar untuk "Download Proposal Mpls Smk : Proposal Mpls 2020 : Blog ini menyediakan berbagai contoh proposal paling baru secara lengkap yang bisa anda download secara gratis."